Background & Significance:
Only 30% to 40% of patients in need of a curative stem cell transplant (SCT) could find a suitable matched sibling donor. For Indian patients, the likelihood of locating a 10/10 HLA identical unrelated donor within limited donor registries is approximately 14%. However, this probability has the potential to rise to 60% if registries with over 1,000,000 registered donors are available. 1,2 Consequently, there is an increasing inclination in India to perform haploidentical transplantations utilizing the post-transplantation cyclophosphamide (PTCY) platform developed by the Johns Hopkins group. 3 The outcomes of haploidentical stem cell transplantation (haplo-SCT) for the treatment of AML were enhanced in the 1990s with the introduction of a T-cell depletion (TCD) strategy followed by a myeloablative conditioning regimen. 4,5 In the last two decades, significant progress in haplo-SCT for hematological malignancies, especially AML, includes donor selection algorithms, improved grafts, GVHD prophylaxis, and enhanced immunologic recovery, benefiting patients. 6 Here, we present our experience of haplo-identical stem cell transplants in myeloid malignancies at our centre.
Study design & Methods:
We conducted a retrospective study at our site. Patients with myeloid malignancy who underwent haplo-identical stem cell transplant between Jan 2018 - Jan 2023 were included in the study and the follow-up was done till July 2023. Haplo-identical transplants done for diagnosis other than myeloid malignancy were excluded. The objectives of the study were to assess the non-relapse mortality [NRM] rate at day +100, relapse rate, graft-versus-host disease - free relapse-free survival [GRFS] and overall survival [OS] of the study cohort. GRFS was defined as a combined outcome including mortality from any cause, recurrence of malignancy, acute GVHD of grade 3 to 4, or chronic GVHD necessitating systemic immune suppression therapy. 7
Descriptive statistics (including median, mean, and range) were used to describe the central tendency and dispersion of variables. The probability of overall survival [OS] and graft versus host disease relapse free survival [GRFS] was estimated by the method of Kaplan and Meier. Probabilities of relapse or progression of malignancy, RRM, and day-100 NRM were summarized using cumulative incidence estimates All statistical analysis were done using statistical package for social science software (SPSS 21, IBM SPSS Statistics).
Results:
We have analysed 29 patients with various myeloid malignancies who have underwent haploidentical SCT from Jan 2018 to Jan 2023. There were 28 AML and 1 MDS patients. The median age was 35 (range, 16 - 59) and there were 22 males and 7 females. Conditioning intensity was myeloablative in 19 (65.5%), reduced intensity conditioning (RIC) in 8 (27.6%) and NMA in 2 (6.9%) patients. There were 10 (34.5%) patients in complete remission 1(CR1) and 19 (65.5%) in CR2. Hematopoietic Cell Transplantation-specific Comorbidity Index [HCT-CI] score was as low 11 (37.9%), intermediate 8 (27.6%) and high 10 (34.5%) patients respectively. Median time to neutrophil engraftment was 16 days (range, 12 - 25) and platelet engraftment was 17 days (range, 11 - 32). Median CD34 stem cell dose was 6.25 x 10*6/kg (range, 3.1 - 8.09) x 10*6/kg. Grade II-IV acute GVHD over first +100 days post SCT was observed in 6 (20.7) patients, and grade III-IV acute GVHD and chronic GVHD at follow up of one year was 3 (10.3) respectively.
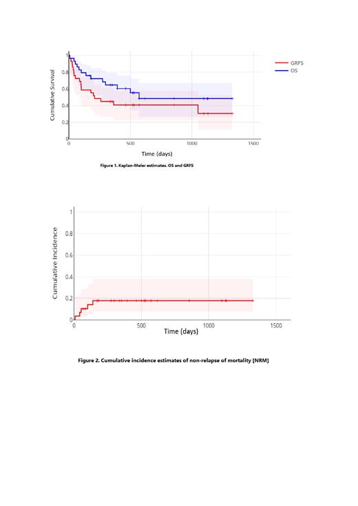
CMV reactivation by +100days was seen in 18 (62.06%) patients. Relapse was seen in 10 (34.5%) patients, out of which 2 patients are alive and 8 expired due to progressive disease. At median follow up of 13 months, OS is 60.3% (CI: 39.7% - 75.9%) and GRFS is at a median follow-up of 6 month was 51.2% (CI: 35.6% - 71%). Fig:1 NRM was 10.3% and 17.24% at +100 days and at last follow-up respectively. Fig:2
Conclusion:
In conclusion, our study demonstrates favorable outcomes in terms of NRM (non-relapse mortality) with a low rate of 10.3% at 100 days after haploidentical SCT. The results also show promising overall survival (OS) and GVHD-free, relapse-free survival (GRFS) rates, supporting the potential of haploidentical transplants as an effective treatment option for myeloid malignancies. Further long-term follow-up and research are needed to validate and optimize these findings.
Disclosures
No relevant conflicts of interest to declare.
